mathtype中文破解版百度云是一款功能强大、专业实用的数学公式编辑器软件,这款软件采用了非常简洁人性化的操作界面,相关用户在这里无需经过专业学习便可以进行各种符号、公式的输入编辑操作,这样就能够为相关用户的工作、学习过程带来极大的帮助。另外,该软件还能够为用户提供一系列模板,为用户省去了不少麻烦。

mathtype中文破解版百度云可以很好的用于到教育教学、科研机构、工程学、论文写作等一系列行业中去并且还可以与office软件完美兼容,这样就能够为用户带来极大的帮助。该软件更是支持手写输入操作方式,这样一来就能够轻松写下一系列复杂的公式推演全过程。
功能特点
1、适用人群:学生、老师、理科专业工作者,理科生专用的必备工具,应用于教育教学、科研机构、工程学、论文写作、期刊排版、编辑理科试卷等领域。
2、兼容个版本office:MathType与Office有很好的兼容性
3、多平台支持:支持在任何文字处理软件、演示程序、页面程序、HTML编辑工具及其它类型的软件,用来建立公式
4、支持手写:"编辑"菜单中的“打开输入数学面板”支持手写输入公式,智能识别手写内容,轻触鼠标编写即可完成
5、自动化处理:支持一键转换为Latex、Amslatex等代码,并提供常用数学公式和物理公式模板,只需单击一次,这个公式便跃然纸上。

软件优势
适用人群
MathType可适用于教育教学、科研机构、工程学等领域人群。
兼容各版本Office
与Office有很好的兼容性,支持各版本的Office软件。
多平台支持
可适用于800+软件应用程序和网站建立公式。
支持手写
支持手写输入公式,智能识别手写内容,轻触鼠标编写即可完成。
所见即所得
点击MathType界面中的模板,只需适当的修改就完成公式的编辑任务。
自动化处理
支持一键转换为Latex、Amslatex等代码,只需单击一次,公式便跃然纸上。
使用方法
首先打开公式编辑器,进行公式编辑。首先我们需要熟悉一下编辑模板上有哪些公式,这些公式的位置在哪里。熟悉了之后再进行公式编辑的时候会更流畅 自如。

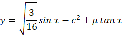
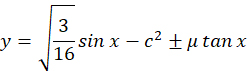
然后开始公式编辑,在这里我以

为例。接下来就是向大家讲解如何使用mathtype7来编辑这个公式。
1、先打出“y=”
2、接下来需要找到根号√的位置。选择√工具,然后我们需要在√的里面输入3/16,先找到“-”工具后在相应的位置输入相应的数字。公式模板具体位置如图所示:

3、然后sinx只需要直接输入就可以了,不需要模板。下一步我们要找到的模板是幂函数,点击相应的模板,输入数字2就可。里面的模板里都有一个黑点,黑点的位置就是等会儿需要输入数字的位置。所以这里面需要看清楚黑点的位置。不要选错了。

4、然后需要输入±号,这个公式的模板位置如图所示:

5、下一步是找到希腊字母μ,这个字母的位置如图所示,在这个模板里面基本上都是希腊字母。

6、最后只需要直接输入tanx就行了。让我们看一下最后公式编辑的效果。

这个公式的编辑过程讲述完了。可以看到,除了我讲的这些公式模板,还有很多其它的公式模板,只是我们这次没有使用上。但是使用方法都是一样的。大家可以用鼠标挨个点击看看都有哪些公式模板,记住它们的位置下次使用时候就能得心应手。

mathtype公式编辑器快捷键
分式
【Ctrl+F】——分式(fractional)
【Ctrl+/】——斜杠分式
根式
【Ctrl+R】——根式(radical)
先按【Ctrl+T】放开后,再按【N】——n次根式
上下标
【Ctrl+H】——上标(high)
【Ctrl+L】——下标(low)
【Ctrl+J】——上下标
括号
【Ctrl+9】或【Ctrl+0】——小括号()
【Ctrl+[】或【Ctrl+]】——中括号[]
【Ctrl+】或【Ctrl+Shift+]】——大括号{}
先按【Ctrl+T】,放开后,再按【Shift+[】——左单边大括号
先按【Ctrl+T】,放开后,再按【Shift+]】——右单边大括号
导数与积分
【Ctrl+Alt+’】——单撇(一阶导数)
【Ctrl+Alt+"】——双撇(二阶导数)
【Ctrl+I】——定积分号(∫:integration)
先按【Ctrl+Shift+I】,放开后,再输入【!】——不定积分记号
常见问题
分段函数或者矩阵间隔问题
MathType中使用“Cambria Math”字体,或者公式里面含有矩阵、扩展括号、括号或者圆括号时,这种空格问题就会出现。
解决方法:
1、在MathType的“样式”菜单中,选择“定义”。
2、在“定义样式”的简单模式中对话框中取消主要字体的“Cambria Math”字体,换用其它字体即可。
3、在高级模式中取消文本、函数功能、变量、向量矩阵和数字的“Cambria Math”字体,换用其它字体即可。
4、如果你想要使公式仍然具有“Cambria Math”字体的风格,你可以使用“Cambria”字体,这个字体与“Cambria Math”字体看起来是一样的,但是使用起来没有任何问题。
360Eyes官方版下载 v1.0.0.1 免费版
天意电脑行业管理系统 v6.7 官方版
DBSync中文版 v1.2 最新免费版
七猫小说官方电脑版 v5.11.10 官方免费版
Termux电脑直装版下载 v0.129 官方免费版
SmarterStats(网站分析SEO工具) v100.0.7219 官方版
玲珑加速器永久免费版下载 v9.0.146 电脑版
灵华画笔助手下载 v2018.7.20 官方版
PicACG官方正版 v2021 最新电脑版
学科网e课堂 v1.3.2.10 官方版
一加全能工具箱电脑版 v4.2 最新版
GlassWire中文破解版安装包 v2.3.449 电脑版
MSMG ToolKit 13.4中文版下载 32/64位 电脑版
夜神模拟器官方版最新版下载安装 v7.0.5.9 电脑版
轻松掌柜进销存下载 v5.0.0.787 经典版
wipeyy(画中画视频控制) v0.3.2 绿色版





























